
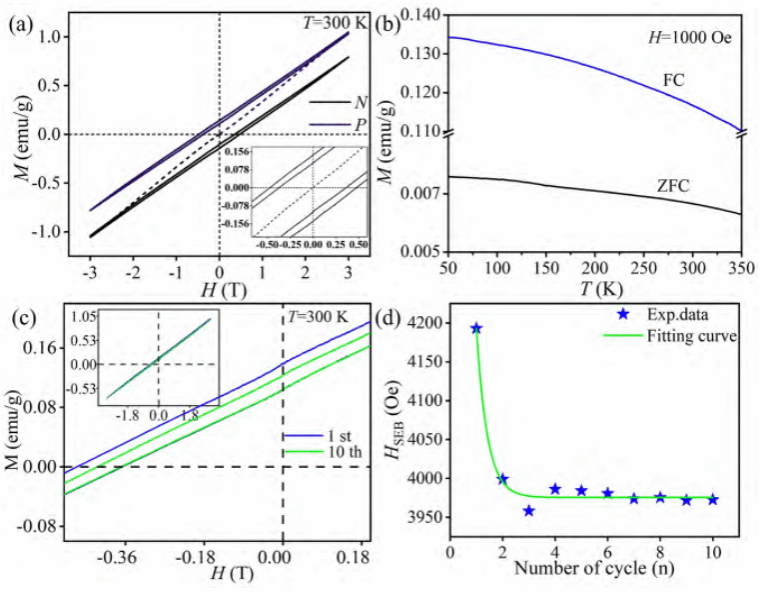
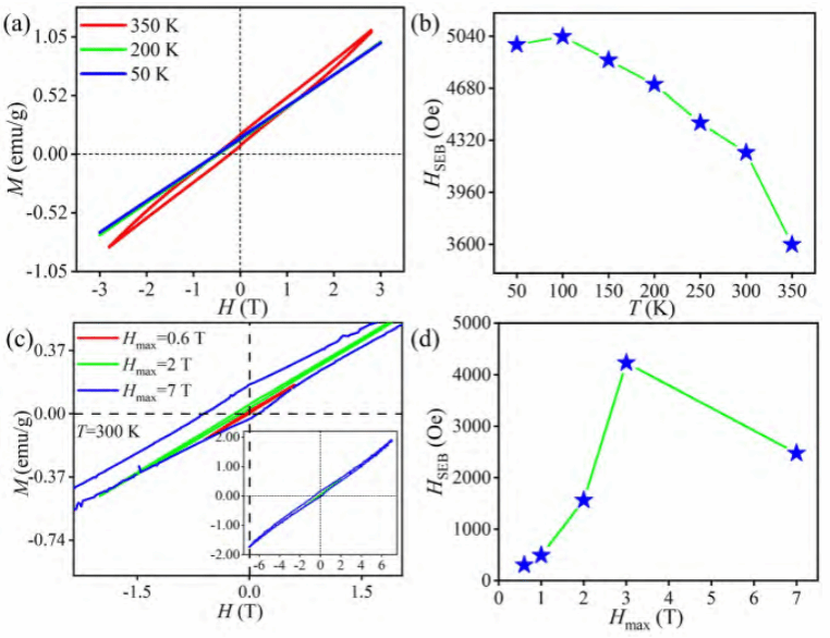
三峡大学湖北省弱磁探测工程技术研究中心团队联合华中科技大学夏正才教授合作在室温自发交换偏置效应研究中取得重要进展。通过纳米原材料制备反铁磁Fe3BO6多晶,获得高达4234 Oe的室温自发交换偏置场(SEB),为新型信息存储器件设计提供了重要材料基础。相关成果以“Surface weak ferromagnet coupling induced giant room-temperature spontaneous exchange bias in antiferromagnet Fe3BO6 polycrystals”为题发表在《The Journal of Chemical Physics》上。
交换偏置效应在自旋电子器件中具有重要应用,但传统交换偏置(CEB)依赖复杂的高温场冷却过程,限制了其实际应用。近年来,自发交换偏置(SEB)效应因其无需外部磁场诱导的特性备受关注,然而现有材料体系(如BiFeO₃、LaFeO₃等)的室温SEB场值较低(<100 Oe),难以满足应用器件需求。针对这一问题,研究团队通过纳米级原料优化的固相反应工艺,成功制备得到了高结晶度的Fe₃BO₆多晶材料。研究表明,该材料在室温下表现出显著的自发交换偏置效应,其SEB场值高达4234 Oe,并进一步通过锻炼效应、温度依赖性和最大场依赖性等进行了研究。该研究揭示了Fe3BO6的显著自发交换偏置效应源于材料表面弱铁磁态与体反铁磁态之间的交换耦合作用,并通过对比低结晶度样品的HSEB进一步验证了结晶度对SEB效应的影响:高结晶度样品中更强的体相-表面耦合是巨SEB的关键。
此项研究不仅为探索室温强SEB材料提供了新思路,还为自旋阀、磁存储器件等应用奠定了重要基础。Fe3BO6多晶的SEB效应高稳定性和可调控性使其成为未来自旋电子器件的一种理想候选材料。






原文链接:https://pubs.aip.org/aip/jcp/article-abstract/161/15/154706/3316856/Surface-weak-ferromagnet-coupling-induced-giant?redirectedFrom=fulltext
通讯作者简介
通讯作者:何雄,三峡大学湖北省弱磁探测工程技术研究中心,校聘副教授,研究生导师。研究工作主要集中在磁学研究领域,致力于研究并设计具有巨磁电阻、不饱和、低功耗和较高温度的磁电阻基电子元器件,另外在热电磁功能材料、反铁磁材料、拓扑半金属材料等的电、热、磁耦合输运性能及其器件设计等方面也有研究积累。
通讯作者:夏正才,华中科技大学国家脉冲强磁场科学中心,教授,博士生导师。研究领域包括:1)磁学与磁性功能材料;2)氧化物强关联系统的磁电阻效应;3)自旋阻挫;4)磁子波色凝聚等
通讯作者:潘礼庆,三峡大学湖北省弱磁探测工程技术研究中心,教授,研究生导师。近十年来,主要从事磁性物理、低维物理以及相关功能材料的基础与应用研究。